Average True Range
Description
Average True Range is a volatility based indicator which describes the range of bars averaged for some period of time. Most common smoothing period is 14. ATR does not show any trend moving or reversing, it only measures volatility and it structure.

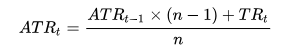
Formula


The first ATR value is calculated using the arithmetic mean formula:

Most useful cases
Divergence/Convergence - Divergence/Convergence pattern is a form of price action when new high(low) of the price not confirmed with a new high of ATR. This is a very good approach to find a weakness of existing trend

Confirmation of existing tendency - if price and ATR rise together it can be interpreted as a confirmation of a strength of the trend

Last updated
Was this helpful?